Introduction
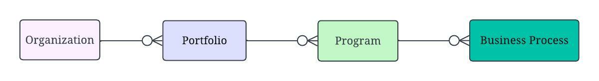
Key Relationship

Important Field Dependencies
| Object |
Usage Notes |
Visibility |
Filter & Search Criteria |
| Hyperlink to Portfolio |
Parent |
|
|
| Hyperlink to Project |
Child |
|
|
| |
|
|
|
Available features
Highlights Panel
- RACI Chart
- Approvals
- Add Child Business Process
- Add Existing Deliverables
- Add Predecessor
- Add Associated Job Role
- Add Successor
- Clone
- Edit
- Scope Disposition
- Delete
Business Process Tabs
Dashboards

- Details
- RACI
- Approvals
- Predecessor Business Processes
- Successor Business Processes
- Child Business Processes
- Job Roles
- Deliverables
- Work Packages
- Benefit
- Other Related
- Insights And Accelerators
Business Usage